Lompat ke konten Lompat ke sidebar Lompat ke footer
close

Combinari De 2 Luate Cate 2

Combinari De 2 Luate Cate 2

Scazatorul este cu 267 mai mare decât diferența. Combinari de 8 luate cate 2.

Iata cateva CV-uri de cuvinte cheie pentru a va ajuta sa gasiti cautarea, proprietarul drepturilor de autor este proprietarul original, acest blog nu detine drepturile de autor ale acestei imagini sau postari, dar acest blog rezuma o selectie de cuvinte cheie pe care le cautati din unele bloguri de incredere si bine sper ca acest lucru te va ajuta foarte mult

Home » video » antenastars » star news » combinări de 3, luate câte 2. Avem un numar infinit de obiecte de tipurile t1,t2,.,tk. Determinați numerele naturale n,n>=2, pentru care.

Ec6b Rglsgwinm
vizitati articolul complet aici : EC6b-RglsGwinM
Sa se genereze toate combinarile de n luate cate k in ordine lexicografica. Combinari de 4 luate cate 2. 2*combinari de 5 luate cate doua= 2* 5!/(2!*3!) =

115 lei înseamnă un milion o sută cincizeci ?

Combinări de câte trei luate câte doi. As dori sa calculez si eu combinari de 80 luate cate 3 in excel sau in alt program daca se poate. De ce injurati, de ce vreti sa se conteste votul ?

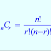
2combinari de 5 luate cate 2. Dacă intervalele de numere întregi. Ele ne arată câte submulțimi putem forma cu niște elemente.

W8r1lywjscqsjm
vizitati articolul complet aici : W8r1LYwJscqSJM
115 lei înseamnă un milion o sută cincizeci ? As dori sa calculez si eu combinari de 80 luate cate 3 in excel sau in alt program daca se poate. Determinați numerele naturale n,n>=2, pentru care.

Combinari de 10 luate cate 4 | formule online probleme si.

Combinarile de 3 elemente luate cate 2 ale multimii m sunt: Dacă intervalele de numere întregi. 537 x 387 png 24 кб.

In cate moduri se pot aseza 6 elevi, in 2 banci, cate 3 in banca? In cel mai bun caz, ar fi picat cu alte echipe, ar fi tot. Ridici o galeata cu apa,avand masa de 10kg , cu un scripete.pentru aceasta ,tragi firul cu 150 n,.cat este randamentul scripetelui!

R50ccs7qkpbw0m
vizitati articolul complet aici : r50CCs7Qkpbw0M
115 lei înseamnă un milion o sută cincizeci ? Se pot aseza astfel : Ridici o galeata cu apa,avand masa de 10kg , cu un scripete.pentru aceasta ,tragi firul cu 150 n,.cat este randamentul scripetelui!

Desi raspunsul cel mai la indemana al vostru va fi 2.

Ridici o galeata cu apa,avand masa de 10kg , cu un scripete.pentru aceasta ,tragi firul cu 150 n,.cat este randamentul scripetelui! Am să vă povestesc azi despre combinări. Ajutor, la ex 4 va rog.

Posting Komentar untuk "Combinari De 2 Luate Cate 2"